✨Sách - Đề kiểm tra Toán 8 (Kết nối tri thức với cuộc sống)











Nhà sách Tuệ Tâm trân trọng giới thiệu cuốn sách: Đề kiểm tra Toán 8 (Kết nối tri thức với cuộc sống)!
Cuốn sách được biên soạn theo từng bài học và chia làm 3 phần:
- Phần 1: Kiến thức cơ bản và các đề kiểm tra thường xuyên.
- Phần 2: Các đề kiểm tra giữa kì 1, 2 và có hướng dẫn giải
- Phần 3: Các đề kiểm tra cuối kì 1, 2 và có hướng dẫn giải




Bộ sách gồm 2 tập nhằm tập trung xây dựng, phát triển và mở rộng kiến thức nền tảng Toán học một cách hệ thống, dễ tiếp cận, giúp các em nắm được một cách
1. Nội dung sách tổng ôn toán học lớp 9 Tập 1 gồm 4 chương: - Chương 1: Căn bậc hai, căn bậc ba. - Chương 2: Hàm số bậc nhất. - Chương 3: Hệ
45 đề chinh phục kì thi vào 10 môn Khoa học tự nhiên 1. Nội Dung : .Cuốn sách được chia làm hai chương chính, mỗi chương có nội dung rõ ràng và mạch
1. Nội Dung Cuốn sách được nhóm tác giả biên soạn dựa trên cấu trúc ĐỀ MINH HOẠ KỲ THI TUYỂN SINH LỚP 10 THPT THEO CHƯƠNG TRÌNH GDPT 2018 mà các SỞ GIÁO DỤC
1. Nội dung sách tổng ôn toán học lớp 9 Tập 1 gồm 4 chương: - Chương 1: Căn bậc hai, căn bậc ba. - Chương 2: Hàm số bậc nhất. - Chương 3: Hệ
1. Nội dung sách Tổng ôn tiếng anh lớp 9 chương trình mới cho 2k10 ôn thi vào 10 Bộ sách Tổng ôn tiếng anh 9 bao gồm 3 tập: + Tập 1: Tổng ôn
Chuyên Đề Bài Tập - Khoa Học Tự Nhiên 7 (Dùng Cho Chương Trình GDPT Mới) Quý Thầy Cô cùng quý phụ huynh kính mến! Các em học sinh thân mến! Năm học 2022 -
Đây là cuốn sổ tổng hợp đầy đủ kiến thức lý thuyết của 5 môn toán lý hóa văn anh giúp các em tra cứu và tổng hợp kiến thức dễ dàng - Khi ôn
Chuyên Đề Bài Tập - Khoa Học Tự Nhiên 7 (Dùng Cho Chương Trình GDPT Mới) Quý Thầy Cô cùng quý phụ huynh kính mến! Các em học sinh thân mến! Năm học 2022 -
Sách - Chinh phục câu hỏi lí thuyết hóa học theo chủ đề ôn thi THPT quốc gia (dùng chung các bộ sgk hiện hành) - HA Các em học sinh thân mến! Trong đề
Sách Tinh tuyển Những bài văn Học sinh giỏi Quốc gia 2025 Cuốn sách này là bộ sưu tập 50 bài văn xuất sắc của các thí sinh đạt giải Nhất, Nhì trong kỳ thi
Combo Định Hướng Và Phát Triển Tư Duy Giải Bài Tập Toán Khó Lớp 8 - Tập 1 + 2 (Dùng Chung Cho Các Bộ SGK Hiện Hành) (Bộ 2 Cuốn) 1. Định Hướng Và
Sách Tham Khảo Toán + Vật Lí + Hóa Học 11 (Dùng Chung Cho Các Bộ SGK Hiện Hành) (Bộ 3 Cuốn) 1. Sách Tham Khảo Toán 11 (Dùng Chung Cho Các Bộ SGK Hiện
250 Bài Toán Chọn Lọc Lớp 6 – Cùng con chinh phục môn Toán Cuốn sách 250+ Bài Toán Chọn Lọc Lớp 5 là tài liệu bổ trợ hoàn hảo dành cho các em học sinh lớp
Sách Tham Khảo Toán + Vật Lí + Hóa Học 11 (Dùng Chung Cho Các Bộ SGK Hiện Hành) (Bộ 3 Cuốn) 1. Sách Tham Khảo Toán 11 (Dùng Chung Cho Các Bộ SGK Hiện
Sách - Combo Giúp em giỏi toán 9/1 + 9/2 (bám sát sgk kết nối tri thức với cuộc sống) - HA Cuốn sách Giúp em giỏi Toán 9 Tập một + Tập hai được
Combo 2 cuốn Chuyên Khảo Đa Thức + Phương Trình Hàm (Bồi Dướng HSG Chuyên Toán - Dùng Chung cho các bộ SGK) HA Công ty phát hành: Nhà Sách Hồng Ân 2 Năm Xuất
1. Hướng Dẫn Học Tốt Ngữ Văn 8 - Tập 1 (Bám Sát SGK Cánh Diều) Công ty phát hành Nhà Sách Hồng Ân Tác Giả Kiều Bắc | Nguyễn Thị Hoa | Nguyễn
Combo Em Học Toán Lớp 9 Tập 1 + 2 (Dùng Chung Cho Các Bộ SGK Hiện Hành) (Bộ 2 Cuốn) 1. Em Học Toán Lớp 9Tập 1 (Dùng Chung Cho Các Bộ SGK
SÁCH - Phương pháp mới giải nhanh bài tập di truyền (dùng chung các bộ sgk hiện hành) - HA Từ năm 2010, tác giả Phan Khắc Nghệ đã đưa ra các phương pháp giải
Combo Hướng Dẫn Học Tốt Ngữ Văn 8 - Tập 1 + 2 (Bám Sát SGK Cánh Diều) (Bộ 2 Cuốn) 1. Hướng Dẫn Học Tốt Ngữ Văn 8 - Tập 1 (Bám Sát SGK
Sách - Bồi dưỡng học sinh giỏi toán 9 (dùng chung cho 3 bộ sgk) Với mỗi dạng bài tập cơ bản đều có phương pháp giải cụ thể và ví dụ minh họa. Ngoài
Sách - Giải chi tiết bộ đề thi trung học phổ thông quốc gia môn tiếng anh Công ty phát hành: Nhà Sách Hồng Ân Tác Giả: Lưu hoằng trí Năm Xuất Bản: 2020 Số
Cuốn sách Bồi Dưỡng Ngữ Văn 8 ( Bám sát sgk kết nối tri thức với cuộc sống)được biên soạn nhằm giúp cho các em học sinh lớp 8 có thể tự học để mở
1. Sách - Mindmap kiến thức Toán Văn Anh Lí Hóa lớp 6 - Dễ hiểu, Làm bài nhanh! - Thông tin chi tiết Công ty phát hành: CÔNG TY TNHH WE UP Nhà xuất
Sách - bồi dưỡng ngữ văn 8 (bám sát sgk kết nối tri thức với cuộc sống)Bám sát SGK “Kết nối tri thức với cuộc sống” Sách được hình thành theo cấu trúc như sau:

Combo Tuyển Tập Đề Và Dàn Bài Kiểm Tra Ngữ Văn 7 ( Dùng Chung Cho Các Bộ SGK Hiện Hành - Bộ 3 Cuốn ) 1. 270 Đề Và Bài Văn Hay Lớp 7
Công ty phát hành Nhà Sách Hồng Ân 2 Năm Xuất Bản 2024 Kích Thước17 x 24 cm Nhà Xuất bản Đại Học Quốc Gia hà Nội Số Trang 439 Bìa Mềm Tác Giả Lưu
Công ty phát hành: Nhà sách Hồng Ân Tác giả: Lưu Hoằng Trí Số trang: 440 Năm xuất bản: 2024 Nhà xuất bản: Đại Học Quốc Gia Hà Nội Tiếng Anh ngày càng trở nên
Công ty phát hành Nhà Sách Hồng Ân Ngày xuất bản 2024 Số trang 446 Nhà xuất bản Nhà Xuất Bản Đại Học Quốc Gia Hà Nội Tác giả: Vĩnh Bá Tài Liệu Ôn Thi
Sách - Combo Toán Nâng Cao Đại Số + Hình Học Lớp 8 (Dùng Chung Cho Các Bộ SGK Hiện Hành) (Bộ 2 Cuốn) - HA 1. Toán Nâng Cao Đại Số 8 (Dùng Chung
1. Phương Pháp Tư Duy Tìm Cách Giải Toán Lớp 6. Bộ sách được biên soạn theo từng chương, từng mục của sách giáo khoa hiện hành giúp học sinh củng cố các kiến thức
SÁCH - sách tham khảo hoá học 12 (dùng chung cho các bộ sgk hiện hành) Năm học 2023 – 2024 các em đã tiếp cận với Chương trình giáo dục phổ thông mới trong
Combo Định Hướng Phát Triển Năng Lực Toán 8 - Tập 1 + 2 (Bám Sát SGK Kết Nối Tri Thức Với Cuộc Sống) (Bộ 2 Cuốn) 1. Định Hướng Phát Triển Năng Lực Toán
Theo xu hướng tự chủ, hiện nay các trường đại học, học viện trong cả nước sử dụng nhiều phương thức tuyển sinh khác nhau, trong đó đặc biệt ưu tiên sử dụng kết quả
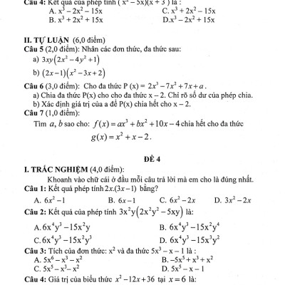
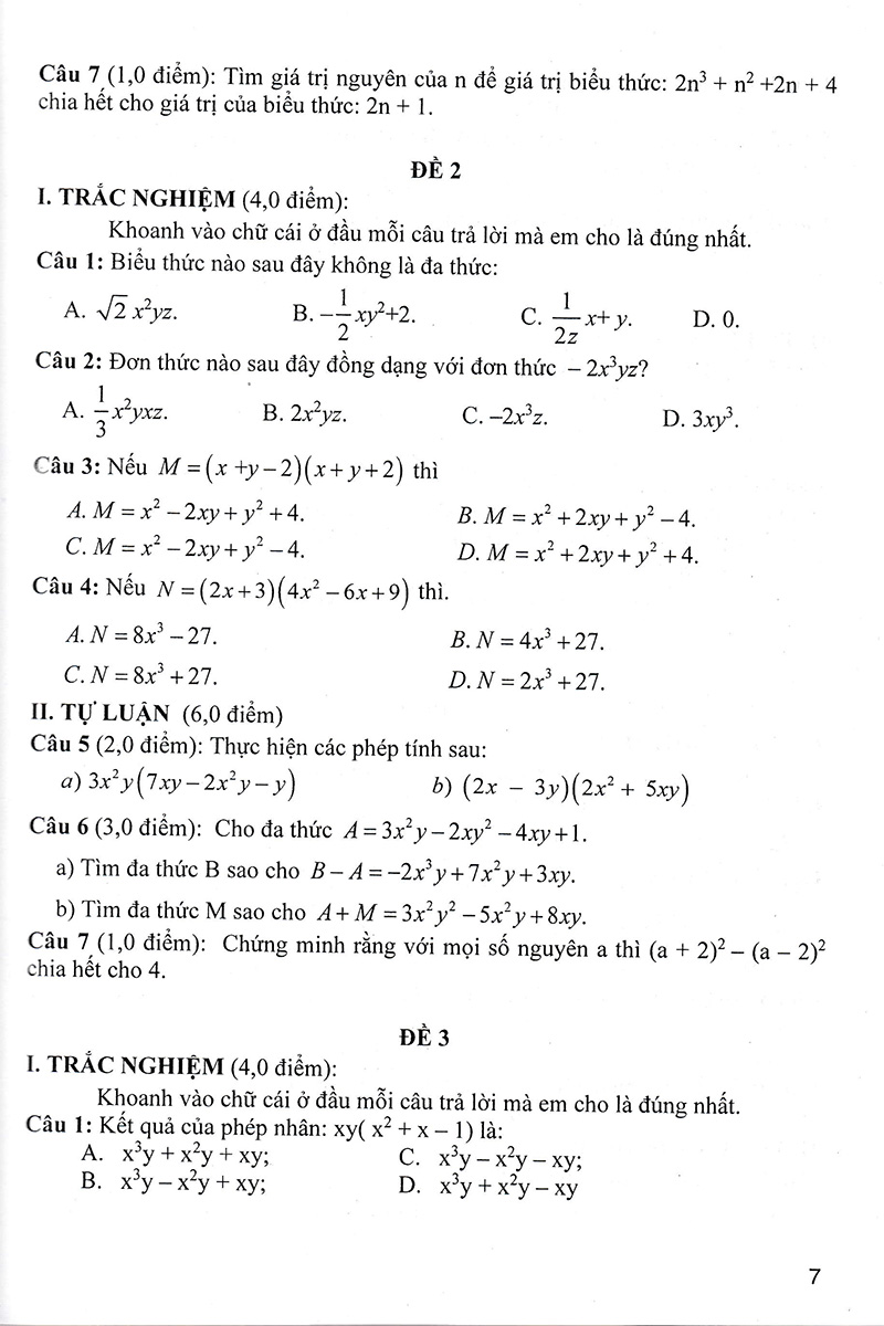
Cấu trúc cụ thể của cuốn sách Bộ để kiểm tra, đánh giá Toán 9 như sau: PHẦN 1. ĐỀ KIỂM TRA, ĐÁNH GIÁ Để kiểm tra giữa học kì ! Để
Cấu trúc cụ thể của cuốn sách Bộ để kiểm tra, đánh giá Toán 9 như sau: PHẦN 1. ĐỀ KIỂM TRA, ĐÁNH GIÁ Để kiểm tra giữa học kì ! Để
Combo Khám Phá Khoa Học Tự Nhiên 7 + Tuyển Tập Đề Kiểm Tra Định Kì Khoa Học Tự Nhiên Lớp 7 (Biên Soạn Theo Chương Trình GDPT Mới) (Bộ 2 Cuốn) 1. Khám
Theo xu hướng tự chủ, hiện nay các trường đại học, học viện trong cả nước sử dụng nhiều phương thức tuyển sinh khác nhau, trong đó đặc biệt ưu tiên sử dụng kết quả
Kì thi Đánh giá tư duy năng lực của các trường đại học lớn như: Đại học Quốc gia Hà Nội (HSA), Đại học Quốc gia Thành phố Hồ Chí Minh (APT), Trường Đại học
Nhà xuất bản: NXB Dân Trí Tác giả: Nhiều Tác Giả Loại bìa: Bìa Mềm Số trang: 239 Năm xuất bản: 2023 Nhà phát hành : Sách Nhân Dân =================================== Bộ 30 Đề
Nhà xuất bản: NXB Dân Trí Tác giả: Nhiều Tác Giả Loại bìa: Bìa Mềm S ố trang: 239 Năm xuất bản: 2023 Nhà phát hành : Hồng ân =================================== Bộ 30 Đề Thi Thử
Năm học 2022-2023 là năm học đầu tiên áp dụng giảng dạy môn Khoa học tự nhiên 6 theo chương trình giáo dục phổ thông 2018. Đây là môn học tích hợp các lĩnh vực
Bộ 30 Đề Thi Thử Học Sinh Giỏi Khoa Học Tự Nhiên 6 (Theo Chương Trình Giáo Dục Phổ Thông Mới) Năm học 2022-2023 là năm học đầu tiên áp dụng giảng dạy môn Khoa

ương Pháp Giải Toán Chuyên Đề Hình Học Lớp 10 (Biên Soạn Theo Chương Trình GDPT Mới): Tác giả: Nguyễn Văn Nho - Lê Bảy Nhà phát hành : Nhà Xuất Bản Đại Học Quốc
Công ty phát hành: Nhà sách Hồng Ân Năm Xuất Bản: 2024 Tác Giả: Hoàng Thị Thúy Hương, Quách Văn Long, Nguyễn Xuân Trường Số Trang: 394 Nhà xuất bản: Đại Học Quốc Gia Hà
Sách - Bài giảng và lời giải chi tiết Tiếng Anh 12 (theo chương trình Friends Global) Cuốn sách “Bài giảng và lời giải chi tiết Tiếng Anh 12 – Friends Global” được biên soạn
Sách - Hướng dẫn giải chi tiết đề luyện thi tốt nghiệp THPT môn tiếng anh theo cấu trúc đề thi 2025 - HA Các em học sinh lớp 12 thân mến! Chúng tôi biên
Công ty phát hành: Nhà sách Hồng Ân Năm Xuất Bản: 2024 Tác Giả: Hoàng Thị Thúy Hương, Quách Văn Long, Nguyễn Xuân Trường Số Trang: 396 Nhà xuất bản: Đại Học Quốc Gia Hà
Mô Tả Sản Phẩm. Bộ sách hướng dẫn ôn tập kỳ thi vào lớp 10 của THPT Chuyên Ngoại ngữ. + Được các giáo viên đang giảng dạy tại THPT Chuyên Ngoại ngữ trực tiếp
combo Hướng dẫn học và làm bài làm văn Ngữ Văn 8 gồm Hướng dẫn học và làm bài làm văn Ngữ Văn 8 tập 1 Hướng dẫn học và làm bài làm văn Ngữ
Hướng dẫn học và làm bài làm văn Ngữ Văn 8 Để giúp các em có thể học và nắm chắc nội dung kiến thức bộ môn ngữ văn ở cấp THCS, chúng tôi biên
Combo: Bộ sách Ôn luyện cơ bản và nâng cao Toán 9 Tập 1 +T2 (Bám sát chương trình SGK Kết nối tri thức với cuộc sống) Tác giả Nhiều tác giả Nhà xuất bản
Nhà xuất bản : Đại Học Sư Phạm Tác Giả : Nguyễn Đức Tấn Năm xuất bản : 2022 Trang : 200 nhà phát hành : Nhà sách hồng ân NỘI DUNG Định hướng
Nhà xuất bản : Đại Học Sư Phạm Tác Giả : Nguyễn Đức Tấn Năm xuất bản : 2022 Trang : 200 nhà phát hành : Nhà sách hồng ân NỘI DUNG Định hướng
combo hướng dẫn học và phương pháp giải toán 8 - tập 1 + 2 (bám sát sgk chân trời sáng tạo) (bộ 2 cuốn) Combo Hướng Dẫn Học & Phương Pháp Giải Toán Lớp
Sách - Các dạng nghị luận xã hội ngữ văn 9 (dành cho học sinh lớp 9 vào lớp 10 theo cấu trúc đề thi năm 2025) - HA Quý thầy cô và các em
1. Bồi Dưỡng Học Sinh Giỏi Sinh Học 10 - TÁI BẢN MỚI Cuốn sách được viết bám sát chương trình Sinh học lớp 10 phổ thông và chương trình sinh học lớp 10. Cuốn
Sách - Các dạng nghị luận xã hội ngữ văn 9 (dành cho học sinh lớp 9 vào lớp 10 theo cấu trúc đề thi năm 2025) - HA Quý thầy cô và các em
Sách - Các dạng nghị luận xã hội ngữ văn 9 (dành cho học sinh lớp 9 vào lớp 10 theo cấu trúc đề thi năm 2025) - HA Quý thầy cô và các em
👁️ 70 | ⌚2025-10-07 20:45:55.158
TOÁN 8 - ĐỀ 3 - ĐỀ THI GIỮA HỌC KÌ 1 TOÁN LỚP 8 NĂM HỌC 2023-2024. SÁCH CHƯƠNG TRÌNH MỚI
TOÁN 8 - ĐỀ 2 - ĐỀ THI CUỐI HỌC KÌ 1 TOÁN 8 NĂM 2024-2025. ÔN TẬP CUỐI HỌC KÌ 1
ĐỀ 1 - ĐỀ THI KHẢO SÁT CHẤT LƯỢNG ĐẦU NĂM TOÁN LỚP 8 NĂM HỌC 2024-2025
TOÁN 8 - ĐỀ 1 - ĐỀ THI GIỮA HỌC KÌ 1 TOÁN LỚP 8 NĂM HỌC 2024-2025. SÁCH CHƯƠNG TRÌNH MỚI
Toán lớp 8 - Ôn tập giữa học kì 1 (Luyện đề số 03) - Thầy Lê Ngọc Diên
TOÁN 8 - ĐỀ 1 - ĐỀ THI GIỮA HỌC KÌ 1 TOÁN LỚP 8 NĂM HỌC 2023-2024. SÁCH CHƯƠNG TRÌNH MỚI

TOÁN 8 - ĐỀ 3 - ĐỀ THI GIỮA HỌC KÌ 1 TOÁN LỚP 8 NĂM HỌC 2023-2024. SÁCH CHƯƠNG TRÌNH MỚI
TOÁN 8 - ĐỀ 2 - ĐỀ THI CUỐI HỌC KÌ 1 TOÁN 8 NĂM 2024-2025. ÔN TẬP CUỐI HỌC KÌ 1
ĐỀ 1 - ĐỀ THI KHẢO SÁT CHẤT LƯỢNG ĐẦU NĂM TOÁN LỚP 8 NĂM HỌC 2024-2025
TOÁN 8 - ĐỀ 1 - ĐỀ THI GIỮA HỌC KÌ 1 TOÁN LỚP 8 NĂM HỌC 2024-2025. SÁCH CHƯƠNG TRÌNH MỚI
Toán lớp 8 - Ôn tập giữa học kì 1 (Luyện đề số 03) - Thầy Lê Ngọc Diên
TOÁN 8 - ĐỀ 1 - ĐỀ THI GIỮA HỌC KÌ 1 TOÁN LỚP 8 NĂM HỌC 2023-2024. SÁCH CHƯƠNG TRÌNH MỚI

Chất Vải Tici , Mát, Ít Nhăn, Cổ Áo Chui BÁN LẺ GIÁ SỈ Chú Ý Khi Đặt Hàng Nhớ Chọn Lấy Mã Miễn Phí Vận Chuyển Và Áp Dụng Mã Miễn Phí Vận Chuyển
️BẠN MUỐN CÓ MỘT TRANG PHỤC PHÙ HỢP KHI ĐI LỄ CHÙA ??? Có Đủ Các Mẫu Mới Nhất Hiện Nay Đáp Ứng Mọi Yêu Cầu Của Bạn : Đẹp và Chất Lượng Vải Loại
Mẫu đồ Lam SIZE 2 : Cao : 1m5 - 1m6 Nặng : 45kg - 55kg SIZE 3 : Cao : 1m6 - 1m7 Nặng : 55kg - 65kg SIZE 4 : Cao : 1m7
️BẠN MUỐN CÓ MỘT TRANG PHỤC PHÙ HỢP KHI ĐI LỄ CHÙA ??? Có Đủ Các Mẫu Mới Nhất Hiện Nay Đáp Ứng Mọi Yêu Cầu Của Bạn : Đẹp và Chất Lượng Vải Loại
BÁN LẺ GIÁ SỈ Chú Ý Khi Đặt Hàng Nhớ Chọn Lấy Mã Miễn Phí Vận Chuyển Và Áp Dụng Mã Miễn Phí Vận Chuyển Bạn Nhé !! Hàng Shop Gửi Đi Cho Khách Gói
Kích Thước Mẫu Lãnh Tụ Đo Trực Tiếp Lên Áo Và Quần,Các Bạn Xem Chi Tiết Đo Này Đễ Chọn Size Chính Xác Hơn Ah. Size 1 Đo Từ Vai Xuống Vạc Áo 69cm; Quần
Thành phần Dầu khoáng chất, trilsononaoin, cetearyl ethylhexanoat, isopropyl myristat, vitamin A, tinh dầu hạt hướng dương, vitamin E, tinh dầu cúc la mã, tinh dầu oải hương, tinh dầu lá hương thảo, chiết xuất
Bình đựng dầu ăn thủy tinh LocknLock 550ml CKO208, Hàng chính hãng, nắp mở tự động, miệng bình rộng - JoyMall - Thương hiệu: Chính hãng LocknLock - Mã SP: CKO208IVY: màu ngà / CKO208GRY:
Cuốn Sách Về Tâm Lý Kỹ Năng Sống Hay- I'm OK You're OK - Tôi Ổn Bạn Ổn I’m Ok – You’re Ok xuất bản lần đầu tiên năm 1969, liên tục giữ vị trí
The Wedding Planner A day to remember . . . Faith Ferguson is one of New York’s most sought after wedding planners. Realizing dreams and making magic happen are part of why Faith loves her
Hộp 24 Bút Lông Màu Acrylic Markers 2 Đầu - Colokit ACM-C002 với thiết kế đầu BROAD tiện lợi và đầu BRUSH linh hoạt đáp ứng được đa dạng nhu cầu sử dụng. Bút màu
Giá bộ: 228.000 VNĐ ------------- Công ty phát hành: First News Tác giả: Karen Casey Ngày xuất bản: 2020 Kích thước: 14.5 x 20.5cm Nhà xuất bản: Nhà Xuất Bản Tổng hợp TP.HCM Loại bìa:
Sống thông minh - Kiểm soát sự phân tâm trong thời đại số và tận hưởng cuộc sống trọn vẹn Công ty phát hành: Thái Hà Tác giả: Brian Solis Số trang: 348 Nhà
Bạn có đang gặp khó khăn với bất kỳ điều nào sau đây? - Tập trung - Sự trì hoãn - Sự lo lắng - Lòng tự trọng - Hay quên - Khả năng sáng
“Hành trình nhân loại: Nguồn gốc của thịnh vượng và bất bình đẳng” được viết bởi Oded Galor - một trong những nhà kinh tế có ảnh hưởng nhất trong lĩnh vực tăng trưởng
Hành Trình Thức Tỉnh - Tạ Minh Tuấn Hành trình thức tỉnh ghi lại những giác ngộ của tác giả Tạ Minh Tuấn trong hành trình đi tìm lẽ thực, những trăn trở trong tâm
Combo Hành Tinh Của Một Kẻ Nghĩ Nhiều + Vẻ Đẹp Của Sự Cô Đơn (Bìa Mềm) (Bộ 2 Cuốn) 1. Hành Tinh Của Một Kẻ Nghĩ Nhiều “Đó là mùa hè năm 2020, mùa
Combo Thay Câu Hỏi - Đổi Cuộc Đời + Khi Ta Thay Đổi Thế Giới Sẽ Đổi Thay (Bộ 2 Cuốn) 1. Thay Câu Hỏi - Đổi Cuộc Đời Thay Câu Hỏi - Đổi Cuộc
Bộ sách "Chơi cờ vua cùng bé" gồm 3 cuốn: 1. “CỜ VUA – NHỮNG BƯỚC ĐI ĐẦU TIÊN CỦA KIỆN TƯỚNG” là một tài liệu tuyệt vời với hơn 80 chủ đề cơ bản, từ
Giá bộ: 206.000 VNĐ -------------- 1. HÀNH TRÌNH VỀ PHƯƠNG ĐÔNG Tác Giả: Nhiều tác giả Công ty phát hành: First News - Trí Việt Ngày phát hành: 2022 Số trang: 256 Kích thước: 14.5